题型一:运动的合成与分解问题
题型概述:
运动的合成与分解问题常见的模型有两类。一是绳(杆)末端速度分解的问题,二是小船过河的问题,两类问题的关键都在于速度的合成与分解。

思维模板:
(1)在绳(杆)末端速度分解问题中,要注意物体的实际速度一定是合速度,分解时两个分速度的方向应取绳(杆)的方向和垂直绳(杆)的方向;如果有两个物体通过绳(杆)相连,则两个物体沿绳(杆)方向速度相等。
(2)小船过河时,同时参与两个运动,一是小船相对于水的运动,二是小船随着水一起运动,分析时可以用平行四边形定则,也可以用正交分解法,有些问题可以用解析法分析,有些问题则需要用图解法分析。
题型二:抛体运动问题
题型概述:
抛体运动包括平抛运动和斜抛运动,不管是平抛运动还是斜抛运动,研究方法都是采用正交分解法,一般是将速度分解到水平和竖直两个方向上。

思维模板:

题型三 圆周运动问题
题型概述:圆周运动问题按照受力情况可分为水平面内的圆周运动和竖直面内的圆周运动,按其运动性质可分为匀速圆周运动和变速圆周运动。水平面内的圆周运动多为匀速圆周运动,竖直面内的圆周运动一般为变速圆周运动。对水平面内的圆周运动重在考查向心力的供求关系及临界问题,而竖直面内的圆周运动则重在考查最高点的受力情况。
思维模板:
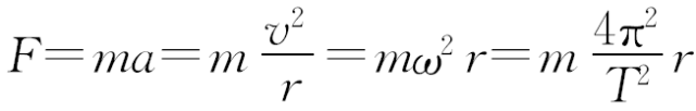
(1)对圆周运动,应先分析物体是否做匀速圆周运动,若是,则物体所受的合外力等于向心力,由

列方程求解即可;若物体的运动不是匀速圆周运动,则应将物体所受的力进行正交分解,物体在指向圆心方向上的合力等于向心力。
(2)竖直面内的圆周运动可以分为三个模型:
绳模型:只能对物体提供指向圆心的弹力,能通过最高点的临界态为重力等于向心力。

杆模型:可以提供指向圆心或背离圆心的力,能通过最高点的临界态是速度为零。
题型四:天体运动类问题
题型概述:
天体运动类问题是牛顿运动定律与万有引力定律及圆周运动的综合性题目,近几年来考查频率极高。
思维模板:
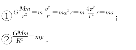
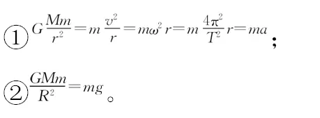
对天体运动类问题,应紧抓两个公式:

对于做圆周运动的星体(包括双星、三星系统),可根据公式①分析;对于变轨类问题,则应根据向心力的供求关系分析轨道的变化,再根据轨道的变化分析其他各物理量的变化,具体分析如下。

题型五:机车的启动问题
题型概述:

思维模板:

注意:
(1)机车以额定功率启动。过程发动机做的功只能用W=Pt计算,不能用W=Fs计算(因为F为变力)。
(2)机车以恒定加速度启动时,第1过程发动机做的功只能用W=Fs计算,不能用W=Pt计算(因为P为变功率)。
题型六:以能量为核心的综合应用问题
题型概述:
以能量为核心的综合应用问题一般分四类。第一类为单体机械能守恒问题,第二类为多体系统机械能守恒问题,第三类为单体动能定理问题,第四类为多体系统功能关系(能量守恒)问题。多体系统的组成模式:两个或多个叠放在一起的物体,用细线或轻杆等相连的两个或多个物体,直接接触的两个或多个物体。
思维模板:
能量问题的解题工具一般有动能定理、能量守恒定律、机械能守恒定律。
(1)动能定理使用方法简单,只要选定物体和过程,直接列出方程即可,动能定理适用于所有过程;
(2)能量守恒定律同样适用于所有过程,分析时只要分析出哪些能量减少,哪些能量增加,根据减少的能量等于增加的能量列方程即可;
(3)机械能守恒定律只是能量守恒定律的一种特殊形式,但在力学中也非常重要。很多题目都可以用两种甚至三种方法求解,可根据题目情况灵活选取